2024-06-07 服務與支持 瀏覽 2287
1 工作量器示值誤差的測量不確定度
根據規程JJG164-2000《液體流量標準裝置》,用100L二等標準金屬量器檢定工作量器,標準量器測得的工作量器在J點20℃下的實際容值V20j的計算公式為

容積示值誤差:ΔV=VG-V20j
式中:V20j—標準量器在j點20℃下給出的實際容積,L;
Vj—j點在檢定時,標準量器注入工作量器中水的容積值,L;
β—溫度為θ3時液體的體脹系數,1/℃;
a1,a2,a3—分別為工作量器標尺材料,工作量器材料,標準量器材料的線脹系數,1/℃;
θ1,θ2,θ3—分別為試驗室溫度,工作量器中液溫,標準量器中液溫,℃;
VG—工作量器在j點的容積值,L;

設檢定介質為水(βw=2.0×10-4℃-1),工作量器標尺及工作量器和標準量器材料為不銹鋼(a1,a2,a3均為17×10-6℃-1),θ1=27℃,θ2=19℃,θ3=17℃,標準不確定度計算如下:

有效自由度為:

2 標準量器在j點檢定時,標準容積的不確定度u(Vj)
依據國家計量檢定系統,二等標準金屬量器相對擴展不確定度δ=2.5×10-4,由于該值是利用k=2的包含因子得到,因此
按正態分布:自由度ν(Vj)=∞
2.1 工作量器標尺材料線脹系數的不確定度u(a1)
工作量器標尺材料的線脹系數為17×10-6℃-1,按均勻分布:
,自由度ν(a1)=50
2.2 工作量器材料線脹系數的不確定度u(a2)
工作量器線脹系數為17×10-6℃-1,按均勻分布:u
自由度ν(a2)=50
2.3 標準量器材料的線脹系數u(a3)
標準量器線脹系數為17×10-6℃-1,按均勻分布:u
自由度ν(a3)=50
2.4 試驗室室溫的標準不確定度u(θ1)
檢定時,采用最小分度值:0.1℃的溫度計,其允許誤差±0.2℃,按均勻分布:
自由度ν(θ1)=50
2.5 工作量器中液溫的標準不確定度u(θ2)
檢定時,采用最小分度值0.1℃的精密水銀溫度計,其允許誤差±0.2℃,按均勻分布:
自由度ν(θ2)=50
2.6 標準量器中液溫的標準不確定度u(θ3)
采用最分度小值0.1℃的精密水銀溫度計,其允許誤差±0.2℃,按均勻分布:
10-1℃-1,自由度ν(θ)=50
2.7 水的體脹系數的不確定度u(βw)
水的體脹系數取2.0×10-4℃-1,按均勻分布:
自由度ν(β)=50
傳遞系數:C1=1 C2=-1.0
C3=1.00×102L·℃-1 C4=-1.70×10-3L·℃-1
C5=-4.00×102L·℃-1 C6=-1.66×10-2L·℃-1
C7=3.00×102L·℃-1 C8=-1.49×10-2L·℃-1
C9=1.00×102L·℃-1
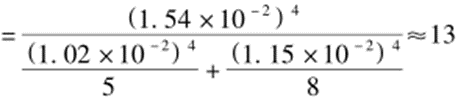
從上面計算可知:u(ΔV)=2.00×10-2L/100L×100%=0.020% 有效自由度νeff≈12
3 換向器的測量不確定度
將流量調至100m3/h,待其穩定后,操作換向器10次,換出時間為t1i,換入時間為t2i,平均值
tmin=0.1688s,根據換向器說明書要求,換入、換出時間≤0.2s,則其按均勻分布,根據規程
0.029%
自由度ν=n-1=9
4 裝置的合成不確定度

自由度
查表:t95(νeff)=2.12 相對擴展不確定度:Urel=2.12×0.035≈0.074%,取Urel=0.08%;k=2符合規程JJG164-2000《液體流量標準裝置》要求。
表1 標準不確定度一覽表
